¿Qué es el Factor de Potencia y por qué CFE te penaliza por él?

Imagina un tarro de cerveza: el líquido dorado representa la potencia activa (kW), que es la energía que realmente utilizas para hacer funcionar tus equipos y procesos. La espuma blanca es la potencia reactiva (kVAR), energía que se desperdicia en el sistema sin aportar valor productivo. Finalmente, el tarro completo simboliza la potencia aparente (kVA), que es lo que CFE mide y cobra en tu factura.

Un factor de potencia bajo significa más "espuma" en tu consumo eléctrico, lo que resulta en sanciones y costos adicionales. CFE penaliza este desperdicio para promover la eficiencia energética y el cumplimiento del Código de Red.

Ilustración del Factor de Potencia con tarro de cerveza

La Física detrás de la Eficiencia: Fundamentos Técnicos y Metrología

2.1 El Triángulo de Potencias

El factor de potencia es una medida de la eficiencia con la que se utiliza la energía eléctrica. Matemáticamente, se define como la relación entre la potencia activa (P) y la potencia aparente (S). La potencia reactiva (Q) completa el triángulo de potencias, donde S² = P² + Q².

Fórmula matemática: FP = cos(φ) = P / S Fórmula matemática: S² = P² + Q²

2.2 El Desafío de las Cargas No Lineales: FP Verdadero

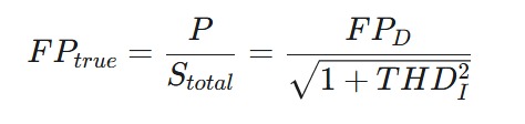
En sistemas con cargas no lineales (como equipos electrónicos), el factor de potencia tradicional (FP_D) no refleja completamente la calidad de la energía. El Factor de Potencia Verdadero (FP_true) considera tanto el desplazamiento como la distorsión armónica total (THD_I).

Fórmula matemática: FP_D = cos(φ₁) Fórmula matemática: FP_true = FP_D / √(1 + THD_I²)

Implicación Regulatoria: Un FP_D alto no garantiza el cumplimiento del Código de Red si los armónicos son elevados, ya que CFE mide el FP_true para evaluar la calidad de la energía.

Calcula el Costo Real de tu Ineficiencia

Ingresa el monto total de tu factura mensual de CFE en pesos mexicanos
Ingresa tu factor de potencia actual como porcentaje (ejemplo: 85 para 85%)
Penalización mensual:
Bonificación mensual:
Ahorro Potencial Anual (al corregir a 97%):

El Mandato del Código de Red: Obligaciones y Plazos

2023

FP ≥ 0.90

2024

FP ≥ 0.92

2025

FP ≥ 0.95

8 de abril de 2026

FP ≥ 0.97

Tiempo restante para cumplir con FP ≥ 0.97:

Días
Horas
Minutos
Segundos

Impactos de un Bajo Factor de Potencia y Mala Calidad de la Energía

Financiero

Penalizaciones directas en la facturación de CFE y mayores costos operativos debido al incremento de pérdidas de energía en la instalación, lo que se traduce en un mayor consumo facturado.

Técnico-Operativo

Capacidad reducida del sistema. Los transformadores y conductores deben transportar una corriente mayor (potencia aparente) para entregar la misma potencia activa, limitando la capacidad disponible para nuevas cargas y provocando caídas de tensión.

Vida Útil de Activos

Sobrecalentamiento y desgaste prematuro. La sobrecorriente por bajo FP y las corrientes armónicas generan calor excesivo, acelerando la degradación del aislamiento en motores, cables y transformadores, reduciendo drásticamente su vida útil.

Riesgo Operacional

Disparos intempestivos de protecciones. El aumento de la corriente puede ocasionar disparos de interruptores y fusibles, causando paros de producción no planificados y afectando la continuidad del negocio.

Mis Pines en Pinterest

De Gasto a Inversión: Tecnologías de Corrección de FP

Corrección Pasiva (PPFC): Bancos de Capacitores

Utiliza bancos de capacitores fijos o automáticos conectados en paralelo con la carga. Es la solución ideal y más rentable para instalaciones con cargas estables y perfiles de consumo predecibles, como motores que operan de forma continua.

Ventajas

  • Bajo costo de inversión inicial
  • Alta fiabilidad y robustez
  • Mantenimiento sencillo y económico

Desventajas

  • Compensación fija o escalonada, no apta para cargas muy variables
  • Riesgo de resonancia con armónicos si no se diseñan correctamente

Corrección Activa (APFC): STATCOMs y Filtros Activos

Emplea electrónica de potencia avanzada (IGBTs, DSPs) para una compensación dinámica. Es indispensable para cargas que varían rápidamente (grúas, soldadoras) y para mitigar simultáneamente la distorsión armónica.

Ventajas

  • Respuesta dinámica casi instantánea
  • Compensación precisa y sin escalones
  • Capacidad de filtrado de armónicos

Desventajas

  • Mayor costo de inversión inicial
  • Mayor complejidad y mantenimiento especializado

El Camino hacia el Cumplimiento: Proceso Regulatorio

Para Instalaciones Existentes: El Plan de Trabajo

Los Centros de Carga que no cumplen con los requerimientos del Código de Red deben elaborar y presentar un Plan de Trabajo formal ante la CRE. Este documento técnico es la hoja de ruta para la regularización.

  1. Diagnóstico Detallado: Basado en mediciones, identificando los parámetros en incumplimiento.
  2. Acciones Correctivas: Descripción de la solución de ingeniería a implementar.
  3. Cronograma de Implementación: Fechas compromiso para la ejecución del proyecto.
  4. Análisis de Alternativas: Justificación técnica y económica de la solución seleccionada.

Para Nuevos Proyectos: Estudios ante el CENACE

Para conectar un nuevo Centro de Carga o interconectar una Central Eléctrica, el CENACE exige una serie de estudios para evaluar su impacto en la confiabilidad del SEN.

  1. Estudio Indicativo: Evaluación preliminar de viabilidad.
  2. Estudio de Impacto en el Sistema: Análisis de flujos, contingencias y estabilidad.
  3. Estudio de las Instalaciones: Define las obras y refuerzos necesarios en la red.

Nota: Las "Cargas Especiales" (mineras, siderúrgicas) requieren un análisis adicional de Calidad del Servicio.

Conclusión: El Cumplimiento como Ventaja Estratégica

La gestión del Factor de Potencia ha evolucionado de una optimización de costos a un pilar de la estrategia financiera y de riesgo. El cumplimiento proactivo del Código de Red no es una medida defensiva, sino una inversión que asegura la continuidad operativa, protege la infraestructura y fortalece la viabilidad a largo plazo de su negocio en el competitivo entorno del Sistema Eléctrico Nacional.

Descargue el Informe Técnico Completo

Acceda a nuestro documento de investigación de más de 10 páginas con el análisis detallado, todas las fórmulas, referencias normativas y estudios de caso.

Descargar PDF Ahora

Sobre el Autor

Este sitio web es propiedad de Rogelio Alcantar Rangel. Suscríbete a mi newsletter en LinkedIn Metrología en México.

Suscríbete en LinkedIn

Preguntas Frecuentes

Sí, aunque está exento de los requisitos de FP y armónicos, debe cumplir con el criterio de desbalance de corriente y tensión, que es un parámetro de Calidad de la Potencia.

El ROI es generalmente muy rápido, a menudo entre 6 y 18 meses. El ahorro generado por la eliminación de penalizaciones y la obtención de bonificaciones paga el costo del equipo en un corto periodo.

Sí, existe un riesgo de 'resonancia' si no se diseña correctamente. Por eso es crucial realizar un estudio de Calidad de la Energía antes de instalar cualquier equipo de corrección, para asegurar que la solución no cree un problema mayor.

Ignorar el requerimiento expone a su empresa a sanciones económicas severas por parte de la CRE, que pueden llegar hasta el 10% de sus ingresos brutos anuales, además de poner en riesgo la continuidad de su conexión al SEN.